| 文 号 | 无 | 发文日期 | 2018-01-18 16:20 |
|---|---|---|---|
| 发布机构 | 欧亚国际(中国)官方网站 人民政府 | 有 效 性 | 有效 |
| 标 题 | 2018年部门预算及“三公”经费财政拨款预算公开情况说明 | ||
2018年部门预算及“三公”经费财政拨款预算公开情况说明
目 录
第一部分 部门预算公开说明
一、基本情况
(一)部门主要职能
(二)部门预算单位构成情况
(三)人员情况
二、收支预算总体安排情况
三、一般公共预算安排情况
(一)基本支出
(二)项目支出
四、政府性基金预算情况
五、其他重要事项说明
(一)机关运行经费情况
(二)政府采购预算情况
(三)国有资产占有使用情况
(四)绩效目标设置情况
(五)政府购买服务情况
第二部分 “三公”经费财政拨款预算情况说明
一、“三公”经费的单位范围
二、2018年“三公”经费财政拨款预算情况
(一)因公出国(境)费
(二)公务接待费
(三)公务用车购置及运行维护费
第三部分 名词解释
附件:表1.2018年部门收支总表
表2.2018年部门收入总表
表3.2018年部门支出总表
表4.2018年财政拨款收支预算总表
表5.2018年一般公共预算支出表
表6.2018年一般公共预算基本支出表
表7.2018年政府性基金预算支出表
表8.2018年“三公”经费支出表(财政拨款)
第一部分 部门预算公开说明
一、基本情况
(一)部门主要职能
(1)加强基层党建。落实基层党建工作责任制,统筹推进街道和社区区域化党建,加强非公有制企业和社会组织党建工作,实现党的组织和工作全覆盖。
(2)统筹区域发展。统筹落实关于辖区发展的重大决策,参与辖区建设规划和公共服务设施布局,推动辖区健康、有序、可持续发展。负责采集企业信息、服务驻区企业、优化投资环境、促进项目发展等经济发展服务工作。
(3)组织公共服务。组织实施与居民生活密切相关的各项公共服务,贯彻落实人社、民政、教育、文化、体育、卫生计生等领域相关政策法规。
(4)实施综合管理。对辖区内城市管理、人口管理、文明创建等地区性、综合性社会管理工作,承担组织领导和综合协调职能。对辖区住宅小区综合管理工作负总责。
(5)监督专业管理。对辖区内各类执法等专业管理工作进行统筹协调,并组织开展群众监督和社会监督。
(6)动员社会参与。动员辖区内各类单位、社会组织和社区居民等社会力量参与社会治理,整合辖区内各种社会力量为街道发展服务。
(7)指导社区自治。指导社区居委会和业委会建设,健全自治平台,组织社区居民和单位参与社区建设和管理。
(8)维护公共安全。负责辖区社会治安综合治理、安全生产等有关工作,开展平安建设,处理群众来信来访,反映社情民意,化解矛盾纠纷等。
(二)部门预算单位构成情况
满春街办事处由单位本级预算组成,行政单位1个。
(三)人员情况
满春街办事处共有编制21人,其中:行政编制21人。在职实有人数27人,其中:行政27人。离退休人员31人,其中:退休31人。
|
编制小计 |
行政编制 |
事业编制 |
实有人数小计 |
行政人数 |
事业人数 |
其中:参公人数 |
离退休人员 |
离休人员 |
退休人员 |
|
21 |
21 |
|
27 |
27 |
|
|
31 |
|
31 |
二、收支预算总体安排情况
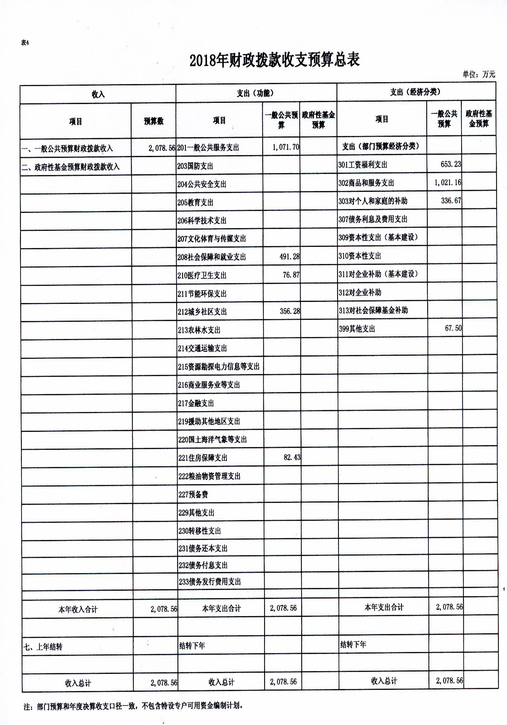
2018年部门预算总收入2078.56万元,较2017年年初预算增加158.21万元,增长7.6%。其中:一般公共预算财政拨款(补助)收入2078.56万元,其他收入0万元,上年结转17.67万元。
2018年部门预算总支出2078.56万元,较2017年年初预算增加158.21万元,增长7.6%。其中:一般公共预算财政拨款(补助)支出2078.56万元,主要用于基本支出1047.56万元,项目支出1031万元。
按照支出功能分类科目,主要用于:
一般公共服务支出1071.70万元;社会保障和就业支出491.28万元;医疗卫生支出76.87万元;城乡社区支出356.28万元;住房保障支出82.43万元。
按照支出经济分类科目,主要用于:
工资福利支出653.23万元; 商品和服务支出1021.16万元;对个人和家庭的补助支出336.67万元;其他支出67.5万元。
三、一般公共预算财政拨款(补助)预算安排情况说明
2018年一般公共预算财政拨款(补助)预算数2078.56万元,安排情况如下:
(一)基本支出1047.56万元,较2017年年初预算增加132.79万元,增长12.7%。
1.工资福利支出597.57万元,主要用于基本工资、津贴补贴、奖金、绩效工资、职工基本养老保险缴费、其他社会保障缴费、住房公积金和其他工资福利支出等。
2.对个人和家庭的补助324.67万元,主要用于离休费、退休费和其他对个人和家庭的补助支出。
3.商品和服务支出125.32万元,主要用于单位人员日常公用经费、办公用房租金、其他交通费用及其他商品和服务支出。
(二)项目支出1031万元。较2017年年初预算增加25.42万元,增长2.5%。
1.经常性项目支出1031万元。主要用于:
一般公共服务470.42万元;社会保障和就业支出204.30万元;城乡社区支出356.28万元。
2.一次性项目支出0 万元。
3.递延性项目支出0万元。
四、政府性基金预算财政拨款支出预算情况
我单位2018年没有使用政府性基金预算财政拨款安排的支出。
五、其他重要事项说明:
(一)机关运行经费情况
2018年部门机关运行经费125.32万元。主要包括:办公费、印刷费、水电费、邮电费、差旅费、会议费、福利费、日常维修费、办公用房物业管理费、公务用车运行维护费及其他费用等。
(二)政府采购预算情况
按照现行政府采购管理规定,2018年部门预算中纳入政府采购预算支出合计0万元。
(三)国有资产占有使用情况
截至2017年12月31日,部门房屋面积共有2500平方米;共有车辆2辆,其中:保留公务用车1辆。
(四)绩效目标设置情况
2018年部门项目均实行绩效目标管理,涉及一般公共预算当年财政拨款1031万元。
(五)政府购买服务情况
根据现行政府购买服务指导目录,2018年本部门政府购买服务支出合计5万元,购买的服务内容主要有:法律顾问服务费。
第二部分 “三公”经费财政拨款预算情况说明
一、“三公”经费的单位范围
(部门单位名称)因公出国(境)费、公务接待费、公务用车购置及运行维护费开支单位包括机关及0个下属事业单位,其中:行政单位1个。
二、2018年“三公”经费财政拨款预算情况
2018年部门财政拨款资金安排“三公”经费预算7万元。具体情况如下:
(一)因公出国(境)费
年初由财政预算集中管理,实际发生时报区委、欧亚国际(中国)官方网站
审批后列入单位预算,年终并入单位决算予以公开。
(二)公务接待费
公务接待费4万元,比上年持平。主要用于:区域经济发展等日常公务接待方面。
(三)公务用车购置及运行维护费
1、公务用车购置费。
本年无购车支出。
2、车辆运行维护费支出3万元。比上年预算持平。
第三部分 名词解释
(一)财政拨款收入:指本级财政当年拨付的资金。
(二)事业收入:指事业单位开展专业业务活动及其辅助活动取得的收入。
(三)经营收入:指事业单位在专业业务活动及其辅助活动之外开展非独立核算经营活动取得的收入。
(四)其他收入:指除“财政拨款收入”、“事业收入”、“经营收入”等以外的收入,包括银行存款利息收入、租金收入、捐赠收入,现金盘盈收入、存货盘盈收入、收回已核销应收及预付款项、无法偿付的应付及预收款项等。
(五)机关运行经费:行政单位和参照公务员法管理的事业单位为保障单位运行使用一般公共预算财政拨款安排的基本支出中的日常公用经费支出。包括办公及印刷费、邮电费、差旅费、会议费、福利费、日常维修费、专用材料及一般设备购置费、办公用房水电费、办公用房取暖费、办公用房物业管理费、公务用车运行维护费以及其他费用。
(六)政府性基金预算:国家通过向社会征收以及出让土地、发行彩票等方式取得收入,并专项用于支持特定基础设施建设和社会事业发展的财政收支预算,是政府预算体系的重要组成部分。













附件:
鄂公网安备 42010302000667号